China 200G 400G DCI supplier

Cabo Hairtail+ 800G IB NDR OSFP Breakout para 2xOSFP de conexão direta

Características

  • Módulo OSFP compatível com OSFP MSA
  • Taxa de transmissão de dados de até PAM4 106,25 Gbps por canal.
  • Habilitar transmissão de 800 Gb/s para 2x400 Gb/s
  • Comprimento da ligação até 3m
  • Funções EEPROM integradas  Temperatura de operação da caixa: 0°C a +70°C
  • Em conformidade com RoHS 2.0
  • Detalhes do produto

Cabo Hairtail+ 800G IB NDR OSFP Breakout para 2xOSFP de conexão direta

Substitua o Nvidia MCP7Y00-Nxxx

800G IB NDR OSFP Breakout to 2xOSFP Direct Attached Cable

Classificações máximas absolutas

Parâmetro Símbolo Min Típico Máximo Unidade
Tensão de alimentação Vcc 3.13 3.3 3,47 V
Temperatura de armazenamento Ts -40 85
Temperatura de operação da carcaça Tc 0 70
Umidade Rh 5 85 %
Taxa de dados 800 Gbps

Características Físicas

Parâmetro Símbolo Min Típico Máximo Unidade
Comprimento L 0,5 3.0 M
AWG 28 25 AWG
Material da jaqueta Rede tecnológica HAIRTAIL+, cinza prateado

Especificações elétricas

Parâmetro Símbolo Min Típico Máximo Unidade
Resistência Rcon 3 ohm
Resistência de isolamento Enxágue 10 Mohm
Impedância do cabo bruto Zca 95 100 110 ohm
Impedância do conector acoplado Zmated 85 100 115 ohm

perda máxima de inserção

a 26,56 GHz
SDD21 11 18 1,5 milhão dB
19,75 2,0 milhões
25.3 1,5 milhão

Diferencial para

retorno de modo comum perda

SCD11/2 2

Para 0,05 ≤ f ≤ 40 GHz, onde f é a frequência em GHz.

dB

Diferencial para

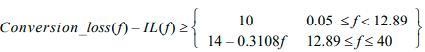
perda de conversão de modo comum
SCD21-S DD21

Para 0,05 ≤ f ≤ 40 GHz, onde f é a frequência em GHz.

dB

Retorno de modo comum para modo comum perda

SCC11/2 2

RLcc(f)≥1,8

Para 0,05 ≤ f ≤ 40 GHz, onde f é a frequência em GHz.

dB
COM mínimo COM 3 dB

Descrição do Pin

800G IB NDR OSFP Breakout to 2xOSFP Direct Attached Cable

Detalhes da pinagem elétrica para OSFP

800G OSFP to 2x400G OSFP DAC Cable

800G OSFP to 2x400G OSFP DAC Cable

Mapa de memória do módulo

Compatível com CMIS rev 5.0 ou revisões CMIS posteriores e especificações do cliente.

Dimensões Mecânicas

800G IB NDR OSFP Breakout to 2xOSFP Direct Attached Cable

800G IB NDR OSFP Breakout to 2xOSFP Direct Attached Cable

P0 FIM P1 e P2 FIM
MEDIDOR OD RAIO DE CURVATURA “R” RAIO DE CURVATURA MÍNIMO “L” MEDIDOR OD RAIO DE CURVATURA “R” RAIO DE CURVATURA MÍNIMO “L”
28AWG 10,2 mm 21 mm 81 mm 28AWG 7,0 mm 14MM 75 mm
26/25AWG 12,1 mm 25 mm 85 mm 26/25AWG 8,3 mm 17MM 78 mm

Informações para encomenda

Número do modelo Descrição
DAC-1X2-8/4-M5 Cabo DAC 800G IB NDR OSFP para 2xOSFP, Hairtail+, 0,5m, 28AWG, Cinza Prateado.
DAC-1X2-8/4-1M Cabo DAC 800G IB NDR OSFP para 2xOSFP, Hairtail+, 1,0 m, 28 AWG, cinza prateado.
DAC-1X2-8/4-1M5 Cabo DAC 800G IB NDR OSFP para 2xOSFP, Hairtail+, 1,5m, 26/25AWG, Cinza Prateado.
DAC-1X2-8/4-2M Cabo DAC 800G IB NDR OSFP para 2xOSFP, Hairtail+, 2,0 m, 26/25 AWG, cinza prateado.
DAC-1X2-8/4-2M5 Cabo DAC 800G IB NDR OSFP para 2xOSFP, Hairtail+, 2,5m, 25AWG, Cinza Prateado.
DAC-1X2-8/4-3M Cabo DAC 800G IB NDR OSFP para 2xOSFP, Hairtail+, 3,0 m, 25 AWG, cinza prateado.

Referências

  • IB NDR e IEEE802.3ck
  • OSFP MSA Rev5.0
  • Especificação da Interface de Gerenciamento Comum (CMIS) Rev5.0

Quer saber mais sobre este produto?

ENVIAR UM Mensagem
Deixe um recado

Se Você está interessado em nossos produtos e quer saber mais detalhes, por favor, deixe uma mensagem aqui, vamos responder você assim que nós puder.

Produtos relacionados
100G QSFP28 AOC cable 100g Qsfp28 AOC .. Transceptor
até 27.952Gbps taxa de dados por canalMax link até 100m em om3 Cabo e 150m em om4 cabo. alta confiabilidade 850nm Vcsel tecnologiaeletricamente hot-pluggable Baixo consumo de energia Baixa EMI Projeto
40G QSFP AOC cable 40g QSFP + AOC .. Transceptor
até 4x10Gbps taxa de dadosMax link até 100m em om3 Cabo e 150m em om4 cabo. alta confiabilidade 850nm Vcsel tecnologiaeletricamente hot-pluggable Baixo consumo de energia Baixa EMI Projeto
400G QSFP-DD DOC cable 400g QSFP-DD DAC Transceptor
QSFP-DD MSA, até 8x 53.125GB / s, 400g DAC cabo alta confiabilidade 850nm Vcsel tecnologiaeletricamente hot-pluggable Baixo consumo de energia Baixa EMI Projeto
10G QSFP28 AOC cable SFP AOC .. Transceptor
SFP + 10g Dados, SFP28 25g dados alta confiabilidade 850nm Vcsel tecnologiaeletricamente hot-pluggable Baixo consumo de energia Baixa EMI Projeto
200G QSFP56 DOC cable 200g QSFP56 DAC Transceptor
QSFP56 MSA, até 4x 53.125GB / S, 200g DAC cabo alta confiabilidade 850nm Vcsel tecnologiaeletricamente hot-pluggable Baixo consumo de energia Baixa EMI Projeto
100G QSFP28 DOC cable 100g Qsfp28 DAC Transceptor
Qsfp28 MSA, até 4x 25GB / S, 100g DAC cabo alta confiabilidade 850nm Vcsel tecnologiaeletricamente hot-pluggable Baixo consumo de energia Baixa EMI Projeto
40G QSFP+ DOC cable 40g QSFP + DAC Transceptor
Qsfp28 MSA, até 4x 10GB / S, 40g DAC cabo alta confiabilidade 850nm Vcsel tecnologiaeletricamente hot-pluggable Baixo consumo de energia Baixa EMI Projeto
10G SFP+ DOC cable SFP DAC Transceptor
SFP + MSA, 10G DAC cabo; SFP28 MSA, 25G DAC cabo alta confiabilidade 850nm Vcsel tecnologiaeletricamente hot-pluggable Baixo consumo de energia Baixa EMI Projeto
Deixe um recado
Deixe um recado
Se Você está interessado em nossos produtos e quer saber mais detalhes, por favor, deixe uma mensagem aqui, vamos responder você assim que nós puder.

Lar

Produtos

sobre

contato